카페검색 본문
카페글 본문
-
유리함수에 관한 문제입니다 (점근선 포함) 아시는 분은 리플 좀 달아주세요~ 2004.09.27해당카페글 미리보기
1번 문제는 저 유리함수의 정의를 다시한 번 제대로 가르쳐주셨으면 합니다~ 2번 문제 => 점근선은 분모가 0 이될때 생기는 거잖아요... ex) 1/(x-1) 의 함수에서 수직점근선은 x=1 일때 생기는 거구요.. 하지만 1/(x^2+1) 가틍 경우에는 수직 점근선이...
-
☆유리함수 킬러특강 12문항. 대칭성, 점근선, 자취, 최단거리, 역함수, 합성함수, 절대값 그래프. 2021.11.14해당카페글 미리보기
유리함수의 주요 특징들을 포함한 킬러급 문제들을 소개합니다. 유리함수는 대칭성에 기초한 응용문제들이 주를 이룹니다. 점근선과 대칭점, 대칭축, 역함수를 빠르게 파악해서 문제의도를 간파해야 합니다. 한편 자취와 최단거리, 절대값 그래프 등 다양...
-
해당카페글 미리보기
-
2023가톨릭대 모의1번▮유리함수,점근선,최대,최소 2024.09.20해당카페글 미리보기
-
해당카페글 미리보기
-
이차함수의 활용 - 유리함수와 무리함수 2013.09.24해당카페글 미리보기
함수의 그래프와 이차부등식 평가문제 12 3. 유리 함수 와 무리 함수 탐구활동 12 1.유리함수 13~14 유리함수와 분수함수의 뜻 유리함수, 분수함수 점근선 점근선 의 그래프 2.무리함수 15 의 그래프 무리함수 평가문제 15 보충과정 16 단원 평가 문제 16...
-
유형별 자료: 고1-2 유리함수 2012.11.17해당카페글 미리보기
01 분수함수 그래프 그리기.hwp 02 분수함수 그래프 그리기 중요문제.hwp 03 분수함수의 그래프와 점근선.hwp 04 분수함수의 대칭성.hwp 05 분수함수 그래프를 보며 식 세우기..hwp 06 분수함수의 평행이동과 겹치는 경우.hwp 07 분수함수 그래프와,고정...
-
유리함수 2021.08.03해당카페글 미리보기
be/P5AJ1d_jzKc ( 유리식 1 ) https://youtu.be/Yr3pVFcroBA ( 유리식 2 부분분수, 번분수 ) https://youtu.be/ZyxKBnj4J6g ( 유리함수의 그래프, 정의역, 치역, 점근선, 대칭축의 방정식 ) https://youtu.be/12PmWJW8xJI ( 유리함수 2 직선과의 위치관계 )
-
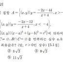
[고1] 유리함수 관련 문제 질문드립니다. 2017.10.02해당카페글 미리보기
답은 2번이라고 합니다. 그림을 그려서 풀어보고 점근선에서 원을 그려보고 해도 먼가 이상합니다. ^^ 실수 a,b 에서 ..... 원C가 A와 만나고, B와 안만나게 그리려면 어떻게 그려야 하나요? 반대인거 같기도 하고..ㅋㅋ 아니면 접근이 잘못된건가요? 고민...
-
고등학생분들중에서 유리함수,무리함수를 잘아시거나 이과이신분들 ??? 2007.11.07해당카페글 미리보기
음 있잖아요 유리함수에서 점근선의 x,y와 정의역치역이같은건가염 ??? 결론은 정의역은 = x 치역은 = y 맞나염 ?